ARAMA
Bahçeli Belediyesi

ARSA SATIŞ İLANI

Geri

ARSA SATIŞ İLANI

2 Mart 2022

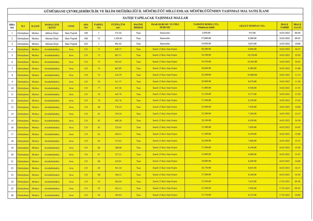
Belediyemiz Fatih Mahallesi, Kızıl Tepe Mevkii, İpekyolu Caddesi üzerinde parselasyonu tamamlanmış, hazine adına kayıtlı olan 235 Ada da bulunan 23 adet parselin;

16.03.2022 – 17.03.2022 tarihlerinde 2886 sayılı Devlet İhale Kanunu 45. Maddesine göre Açık  Teklif Usulü ile ilan metninde belirtilen saatlerde Gümüşhane Çevre, Şehircilik ve İklim Müdürlüğü Toplantı Salonunda İhale Komisyonu huzurunda ihalesi yapılacaktır.

Beldemiz halkına ve isteklilere ilanen duyurulur.

 

Bilgi için: Harita Mühendisi

Abdul Latif TANIŞ

Tel:  0 542 260 14 05

 

1) Yukarıda bilgileri yazılı taşınmaz malların satış ihalesi 2886 sayılı Devlet İhale kanununun 45. maddesine göre Açık Teklif Usulü ile hizalarında belirtilen tarih ve saatte Gümüşhane Çevre,Şehircilik ve İklim Değişikliği İl Müdürlüğü toplantı salonunda ihale komisyonu huzurunda yapılacaktır.

2) İhaleye katılmak isteyen isteklilerin ihale gün ve saatine kadar; 2886 sayılı Devlet İhale Kanununun 26’ıncı maddesi uyarınca yukarıda miktarı yazılı aşağıda belirtilen değerlerden birinin Geçici Teminat olarak Gümüşhane Defterdarlık Muhasebe Müdürlüğüne yatırmaları ve alındı aslının diğer istenilen belgeler ile birlikte ihale komisyonuna teslim etmeleri gerekmektedir: a) Tedavüldeki Türk Parası b)Mevduat veya katılım bankalarının verecekleri süresiz teminat mektupları c) Hazine Müsteşarlığınca ihraç edilen Devlet İç Borçlanma Senetleri veya bu senetler yerine düzenlenen belgeler (Nominal bedele faiz dahil edilerek ihraç edilmiş ise, bu işlemlerde ana paraya tekabül eden satış değerleri esas alınır.) ç) Taşınmaz satış ihalelerinde, dışarıda yerleşik kişiler ile geçimini yurt dışında temin eden Türk Vatandaşlarından, teminat olarak Türkiye Cumhuriyeti Merkez bankasınca belirlenen konvertibil döviz. d) Mevzuata aykırı düzenlenmiş teminat mektupları kabul edilmez. üzerinde suç unsuru tespit edilen teminat mektupları, gerekli kovuşturma yapılması için Bakanlığa intikal ettirilir. her teminat mektubunda daha önce ilgili banka şubesince verilen teminat mektupları toplamı ile aynı şubenin limitlerinin de gösterilmesi zorunludur.  Yabancı bankaların ve benzeri kredi kuruluşlarının kontrgarantilerine dayanarak bankaların verecekleri teminat mektupları, yukarıdaki miktarlara dahil değildir. e) Mevduat veya katılım bankalarınca verilen teminat mektupları dışındaki teminatların istekliler tarafından ilgili muhasebe birimine  yatırılması zorunlu olup, bunlar ihale komisyonunca teslim alınamaz. Üzerlerine ihale yapılanların teminat mektupları, ihaleden sonra ilgili muhasebe birimine teslim edilir ve ve üzerlerine ihale yapılmayan isteklilerin geçici teminatları geri verilir.
 
3) İhaleye iştirak edeceklerin; a) Yasal yerleşim yeri sahibi olmaları, b) Tebligat için Türkiye’de adres göstermeleri, c) Gerçek kişilerin T.C. Kimlik numarasını gösterir fotoğtaflı nüfus cüzdanı  veya herhangi bir kamu kuruluşunca tasdikli T.C Kimlik numarasını gösteriri kimlik kartı, pasaport gibi yanlarında bulundurmaları, tüzel kişilerin ise vergi kimlik numaralarını bildirmeleri, ç) Özel Hukuk tüzel kişilerinin, yukarıda belirtilen şartlardan ayrı olarak idare merkezlerinin bulunduğu yer mahkemesinden veya siciline kayıtlı bulunduğu ticaret veya sanayi odasından yahut benzeri mesleki kuruluştan, ihalenin yapıldığı 2021 yılı içinde alınmış sicil kayıt belgesi ile tüzel kişilik adına ihaleye katılacak veya teklifte bulunacak kişilerin tüzel kişiliği temsile tam yetkili olduklarını gösterir noterlikçe tasdik edilmiş imza sirkülerini veya vekaletnameyi vermeleri; kamu tüzel kişilerinin ise yukarıdaki şartlardan ayrı olarak tüzel kişilik adına ihaleye katılacak veya teklifte bulunacak kişilerin tüzel kişiliği temsile yetkili olduğunu belirtir belgeyi ihale komisyonuna  vermeleri gerekmektedir.  d) Ortak girişim olması halinde komisyona 2022 yılı Noter tasdikli ortak girişim beyannamesi ibraz edilecektir.
 
4) Posta ile yapılacak müracaatlarda tekliflerin 2886 sayılı Devlet İhale Kanununun 37. maddesine uygun olarak hazırlanması ile ihale gün ve saatine kadar yukarıda belirtilen Komisyon Başkanlığına ulaşması şarttır.Bu saatten sonra ulaşan teklifler değerlendirmeye alınmayacaktır. İhalelerden birinin uzaması halinde diğer ihalelere müteakip saatlerde devam edilecektir.
 
5) Hazine taşınmazlarının satışı KDV’ den istisna olup, 5 yıl süreyle Emlak Vergisine de tabi değildir. Satış bedelinin belediye ve mücavir alan sınırları içerisinde 5.000,00 TL, bu sınırlar dışında ise 1.000,00 TL’yi geçmesi ve talep edilmesi durumunda bedelin en az dörtte biri peşin, kalanı en fazla iki yılda en fazla 8 eşit taksit halinde kanuni faizi ile birlikte, alıcının belirteceği tarihler de dikkate alınarak taksitlendirme yapılabilecektir.
 
6)Taşınmazların satış bedeli üzerinden %1 Döner sermaye bedeli alınacaktır.
 
7)İhaleye iştirak edecek isteklilerin ihale salonu ile İdare binasının içinde ve çevresinde Covid-19 tedbirleri gereğince maske kullanmaları ve sosyal mesafe kurallarına uymaları önem arz etmektedir.
 
8) İhalelere ilişkin şartname ve ekleri mesai saatleri içinde Gümüşhane Çevre ve Şehircilik İl Müdürlüğü Milli Emlak Müdürlüğünden ücretsiz olarak görülebilir. Komisyon ihaleyi yapıp yapmamakta serbest olup ihale ilanı www.gumushanecsb.gov.tr adresinden görülebileceği ilan olunur.